MOAC
OPSMOAC
User Name
Password
หาคำตอบ
10 + 81
=
เข้าสู่ระบบ
ลืมรหัสผ่าน
ก
ก
ก
ก
073221711
แผนที่สำหรับพิมพ์
Google Map
สำนักงานเกษตรและสหกรณ์ จังหวัดยะลา
Yala Provincial Agriculture and Cooperatives Office
หน้าหลัก
เกี่ยวกับ กษ.จว.
ประวัติความเป็นมา
วิสัยทัศน์/พันธกิจ
โครงสร้างองค์กร
โครงสร้างผู้บริหาร
ข้อมูลพื้นฐานด้านการเกษตรฯ
ยุทธศาสตร์/แผนงาน
ยุทธศาสตร์
แผนปฏิบัติการ
ข่าวสาร
ข่าวประชาสัมพันธ์
ข่าวรับสมัครงาน
ข่าวประกาศจัดซื้อจัดจ้าง
สรุปผลจัดซื้อจัดจ้าง
ข้อมูลภัยและสถานการณ์
ภาพกิจกรรม
ปฏิทินกิจกรรม
การบริการประชาชน
การขึ้นทะเบียนเกษตรกร
ศูนย์บริการเกษตรพิรุณราช
คู่มือประชาชน
องค์ความรู้ด้านการเกษตร
เทคโนโลยีและภูมิปัญญาชาวบ้าน
บทความด้านการเกษตร
คลิปเกษตร
เอกสารดาวน์โหลด
คำรับรองการปฏิบัติราชการ
ผลการดำเนินงาน
กฏหมาย
ระเบียบ/คำสั่ง
เอกสารเผยแพร่
ข้อมูลพื้นฐานจังหวัดสนับสนุนการตรวจราชการ/ครม.สัญจร
ติดต่อเรา
ข่าวสาร
สรุปผลจัดซื้อจัดจ้าง
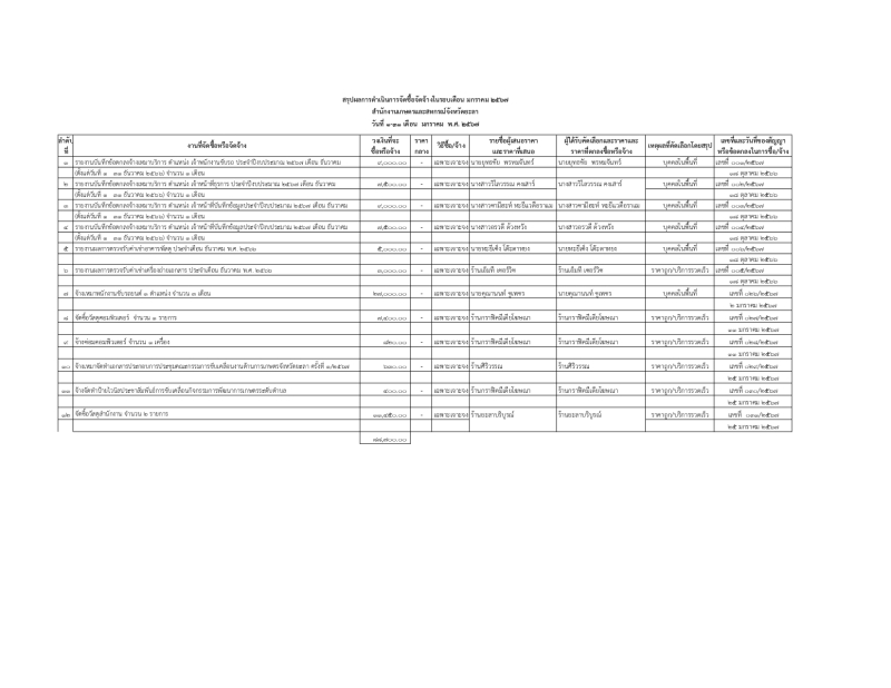
สรุปผลการดำเนินการจัดซื้อจ้ดจ้างในรอบเดือน มกราคม 2567
31 ม.ค. 2567
84
70
สรุปผลการดำเนินการจัดซื้อจ้ดจ้างในรอบเดือน มกราคม 2567
สรุปผลการดำเนินการจัดซื้อจ้ดจ้างในรอบเดือน มกราคม 2567
61.72 KB
สรุปผลการดำเนินการจัดซื้อจ้ดจ้างในรอบเดือน มกราคม 2567
ตกลง